原料粒径是影响破碎机破碎性的一个重要的因素,如锤式破碎机对物料进行破碎的单位能耗主要却绝与物料的组合和原料粒径分布。
由于物料组成的复杂性与多变性,且不同原料的粒径变化范围较大,选混合物料具有很多不可控因素,数据波动性也会较大。
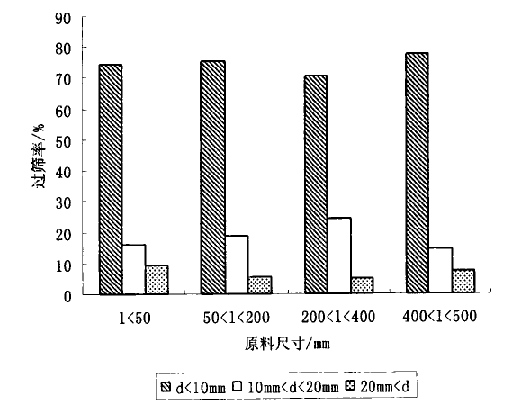
下面就选用粒径范围较为容易控制的玉米秸秆作为破碎预处理,选取其中四个粒径范围内的秸秆作为实验原料。实验性的破碎的工作参数如下:单向进料,压缩室压力为60Mpa,转速为1000rpm/min,动刀片与定刀片间隙为10mm。
下图1和图2分别为破碎产品粒径分布和破碎单位能耗随原料尺寸的变化趋势。

原料粒径对破碎产品粒径分布的影响
从上图可以看出,破碎产品的粒径分布随原料尺寸的改变并没有呈现出规律的变化,这是因为,破碎机在破碎前对呈松散状态的物料进行压缩处理,压缩后的物料可以近似的看做一个整体,破碎时是压缩成整体的物料参与破碎(如下所示),在这种状态下,原料尺寸的影响可以近似忽略。

原料粒径对破碎单位能耗的影响
上图表明原料尺寸越小破碎单位能耗越低,这是因为较小尺寸的原料构成的物料密度相对较小,机械强度较低,在破碎时抗剪切和抗变形能力小,因此破碎所需的能耗随着原料尺寸的减小而减小。
上一篇: 根据物料的不同结构选择不同的破碎机
下一篇: 未来破碎机的设计思路
2021-11-30
2021-11-15